- Предыдущее
- Следующее 27 страница
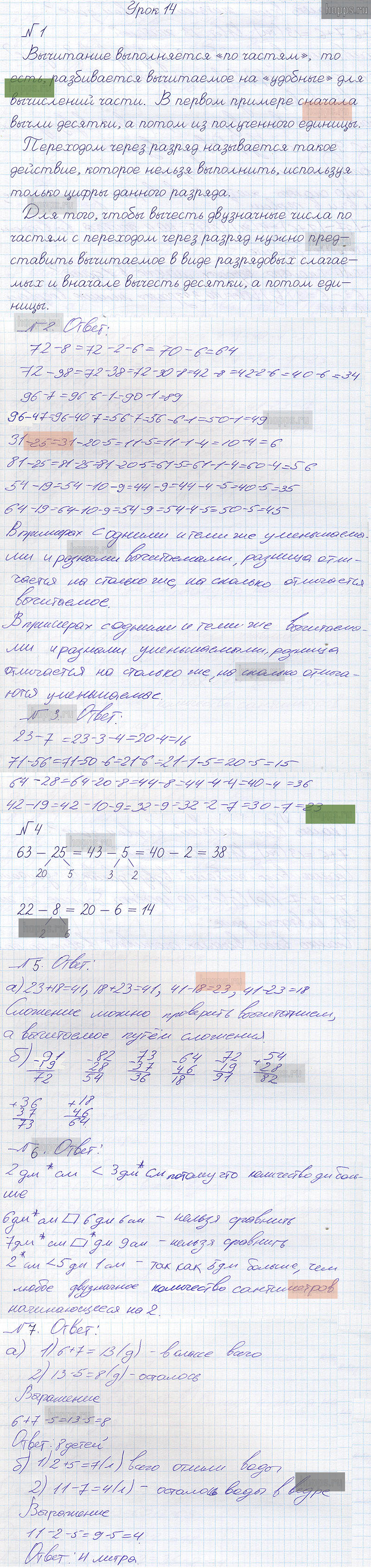
Подробные ответы к заданиям, расположенным на 27 странице 1 части учебника по математике автора Петерсон Л.Г. для учащихся 2 класса. Урок 14. Вычитание по частям: 41-3, 41-23.
-
27 страница
- Предыдущее
- Следующее
Подробные ответы к заданиям, расположенным на 27 странице 1 части учебника по математике автора Петерсон Л.Г. для учащихся 2 класса. Урок 14. Вычитание по частям: 41-3, 41-23.